近幾年行測資料分析中有一個頻繁出現的考點——隔年增長問題。而這個考點,最常見的問題是已知現期增長率(q1
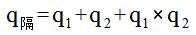
)間期增長率(q2)求隔年增長率,直接利用公式:
(q1、q2分別為現期、間期的增長率)計算結果即可。但是現在的反套路考法,你真的知道嗎?接下來MVP學習網用三個例子帶你掌握隔年增長問題。
一、利用隔年增長求倍數:隔年倍數=1+隔年增長率
【例1】
2021年上半年,西部地區完成互聯網業務收入412.1億元,同比增長47.9%,增速同比提高35.9個百分點,較1-5月提高1.3個百分點,高于全國平均水平22.3個百分點。
問題:2021年上半年,西部地區完成互聯網業務收入約是2019年同期的:
A.1.42倍 B.1.52倍 C.1.60倍 D.1.66倍
【答案】D。核心解析:根據文字材料信息可知,已知2021年上半年西部地區完成互聯網業務收入的現期增長率為47.9%,則2020年上半年的間期增長率為47.9%-35.9%=12.0%。結合增長率與倍數的關系,所求2021年上半年,西部地區完成互聯網業務收入約是2019年同期的1+47.9%+12.0%+47.9%×12.0%≈1.66倍。選擇D。
二、利用隔年增長求增長量:
【例2】
2021年上半年,互聯網企業完成互聯網接入及相關服務收入200.7億元,同比增長8.3%(上年同期下降5.8%);完成互聯網數據服務(包括云服務、大數據服務等)收入107.7億元,同比增長23.4%,增速同比提高9.1個百分點。
問題:2021年上半年,我國互聯網企業完成互聯網接入及相關服務收入比2019年同期約增長了:
A.2億元 B.4億元 C.6億元 D.8億元
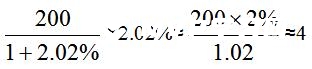
【答案】B。核心解析:根據文字材料信息可知,2021年上半年,互聯網企業完成互聯網接入及相關服務收入200.7億元,同比增長8.3%(上年同期下降5.8%)。則2021年上半年互聯網企業完成互聯網接入及相關服務收入比2019年同期的隔年增長率為8.3%-5.8%-8.3%×5.8%≈2.02%。結合隔年增長量的公式,所求2021年上半年,我國互聯網企業完成互聯網接入及相關服務收入比2019年同期約增長了
億元。選擇B。
三、利用隔年增長求間期增長率
【例3】
2021年,全國紡織品服裝出口3155億美元,同比增長8.4%。其中,紡織品出口1452.2億美元,同比下降5.6%,較2019年增長22.0%;服裝出口1702.8億美元,同比增長24.0%,較2019年增長16.0%。其中,針織服裝及衣著附件出口864.8億美元,同比增長39.0%;梭織服裝及衣著附件出口701.2億美元,同比增長12.6%。
問題:2020年,全國服裝出口額比2019年:
A.增長了10%以上 B.下降了10%以上
C.增長了不到10% D.下降了不到10%
【答案】D。核心解析:根據文字材料信息可知,已知2021年服裝出口比2019年的隔年增長率為16.0%,2021年現期增長率為24.0%,求2020年間期增長率。由隔年增長率公式,可列等式:
,整理得
下降不到10%。選擇D。
通過以上例題發現,隔年增長問題中除了一些常規考點外,還會求隔年倍數、隔年增長量、間期增長率等反套路的考法,但萬變不離其宗,無論怎么變化,首先掌握相關基礎理論,結合問題和材料靈活運用知識點,相信大家都能解決。

