行測資料分析中,增長率這一考點出現的頻率高、類型多,為了幫助廣大考生更好地區分和掌握,MVP學習網為大家做好了如下梳理,有需要的可以收藏備用!

例.2021年1月至11月,健康險業務和人身意外傷害險業務分別累計實現原保費收入
7896億元和1123億元,上年同期分別為7642億元和1087億元;
問題:2021年1月至11月,人身意外傷害險業務累計實現原保費收入同比增長:
A.3.3% B.5.5% C.8.4% D.11.3%
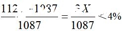
【答案】A。核心解析:由材料可知,2021年1月至11月,人身意外傷害險業務累計實現原保費收入1123億元,上年同期為1087億元,所求為
,選擇A項。

例.2019年,廣西郵政寄遞服務業務量累計完成4.48億件,同比增長0.36%;郵政寄遞服務業務收入累計完成7.68億元,同比增長10.85%。
問題:2019年,廣西郵政寄遞服務平均每筆業務的收入較上年:
A.增加不足11% B.增加超過11%
C.減少不足11% D.減少超過11%
【答案】A。核心解析:由材料可知,2019年,廣西郵政寄遞服務業務量同比增長0.36%,
業務收入同比增長10.85%。由于10.85%>0.36%,則2019年廣西郵政寄遞服務平均每筆業務的收入較上年增加,排除C、D項;增加了
,即增加了不足11%,選A。
三、兩數之和(A+B)的增長率,即混合增長率:混合增長率介于兩個部分增長率之間,且靠近基期值大的部分增長率。
例.2021年1-3月份,全國社會消費品零售總額105221億元。按經營單位所在地分,城鎮消費品零售額91345億元,同比增長34.6%;鄉村消費品零售額13876億元,增長29.4%。
問題:2021年1-3月份,全國社會消費品零售總額比上年同期增長:
A.33.9% B.28.6% C.37.5% D.26.1%
【答案】A。核心解析:由材料可知,2021年1-3月份,全國社會消費品零售總額按經營單位所在地分,城鎮消費品零售額同比增長34.6%;鄉村消費品零售額同比增長29.4%。根據混合增長率的核心結論可知,則2021年1-3月份,全國社會消費品零售總額同比增速介于29.4%~34.6%之間,選擇A項。
四、兩數之積(A×B)的增長率:
例.1—8月,房地產開發企業土地購置面積12236萬平方米,同比下降25.6%,每平方米土地價格同比上漲4.5%,土地成交額6374億元。
問題:2019年1—8月,房地產開發企業土地成交額與去年同期相比增長約:
A.-17% B.-22% C.-27% D.1.2%
【答案】B。核心解析:根據材料第三段可知,2019年1—8月,房地產開發企業土地購置面積同比下降25.6%,每平方米土地價格同比上漲4.5%,所求為
,最接近的是B,故本題選B。
以上給出的結論性公式,免去了繁雜的推導整理過程,可以幫助大家更高效備考,一定要牢記于心!

