每年高考數學,江蘇卷和浙江卷都是全國各類型高考題中較難的試卷。相比之下,他們的計算量更大,考察角度更靈活多變。所以也是眾多考生考后喜歡議論的話題。尤其是江蘇卷試卷比較新穎,和其他區域考試試卷不同,他取消了選擇題部分,取而代之的是增加了填空題的數量。筆者之前已經對江蘇卷的填空題部分進行了解析,今天就給大家詳細解析下大題部分,看看2023年高考江蘇卷數學難度究竟如何,這里面重點考察我們哪方面的知識,同時又有怎樣的解題技巧值得學習借鑒。
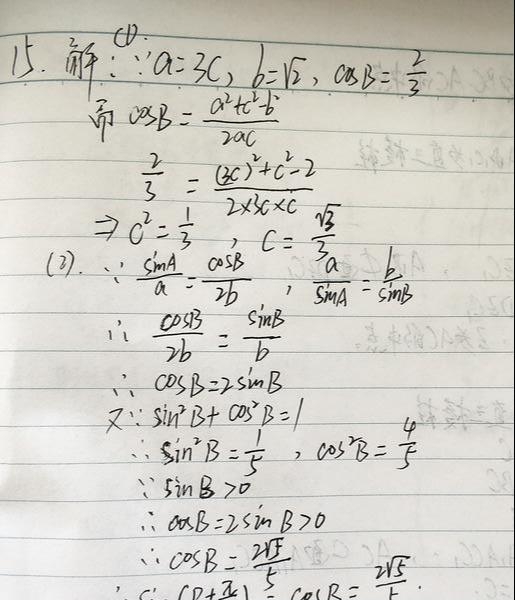
15題,典型的三角函數題型,難度不是很大,重點考察我們正弦定理以及余弦定理的運用。只要掌握相應的公式,那么進行簡單的變形便能得出最終答案。
16題,簡單的立體幾何題型。在今年所有區域的立體幾何題中,江蘇卷的立體幾何算是最簡單的了,幾乎沒怎么轉彎,也沒有必要建立空間直角坐標系,利用一些基礎概念定理,便能得出結論。
17題,圓錐曲線題型。這個題的突破口在于分析清楚圖中各線段之間的關系,結合橢圓的性質定理,第一問就很容易求解。第二問從表面上看需要我們求很多點的坐標,但是由于已知點的坐標較多,求解也很方便??傮w思路是多次利用直線與圓或直線與橢圓的方程求解出對應點的坐標,難度不算很大。
18題,三角函數及圓的一些基礎知識考察。第一問比較簡單,結合題意添加一條輔助線AE垂直于BD,那么四邊形AEDC便能得證是矩形,確定AE、BE的長度,接下來求解就很方便了。第二問的求解始終圍繞一個知識點,那就是:當直線與與圓相切時,直線上的點到圓心的距離不小于半徑。換成角度來表達便是直線與半徑所構成的角要大于等于90°才能滿足題意。那么結合這一點,我們便能進行求解了。
19題,函數題型,第一問結合已知條件很容易就能求出,第二問首先找出f(x)與其倒數零點的表達式,再結合已知條件求出a、b的值,然后利用倒數求出f(x)的單調區間,找出極小值。第三問思路有些類似,同樣是利用倒數找出單調區間再寫出極大值的表達式,最后對極大值的表達式進行化簡,推出其小于等于4/27。
20題,數列題,這道題的難度會大一些。第一問根據題干條件很容易求出首項和公比,然后證明結論。第二問第一小問的突破口在于求出Sn的表達式,然后結合bn=Sn-Sn-1這一性質表示出bn,將最終表達式化解后便能得出一個明顯的等差數列的等差中項的表達式,便能說明bn是等差數列,然后根據首相和公差,便能寫出通項公式。
而第二小問難度較大,其突破口在于將指數不等式轉換為對數不等式,然后構建Lnx/x的新函數,利用倒數判斷出函數的單調性,找出極大值,接下來便是對k的取值進行討論,根據最初題干給出的不等式進行驗證,最終得出m的最大值。
21題,作為選做題分為三個部分,都不是很難。A題,矩陣乘法的運算及特征值的求法,只要知道運算規則,那么這個題很快就能求出答案。
B題,極坐標的相關知識。這兒首先要大家理解極坐標表達式的意義,明確起每個坐標代表的含義,然后結合圖形,便能快速求解。此外要掌握直線方程或圓錐曲線方程與極坐標方程之間的轉換方法。
C題,簡單的分段討論不等式題型,對x的取值范圍進行分情況討論,得出幾個范圍,最終合并即可。
22題,二項式定理的考察,總體難度不高,只要熟悉二項式定理公式,那么這道理無非就是簡單的計算而已。沒多大難度。
23題,概率題型。在求解這道題之前要明白這道題表達的意思。繪制出草圖,利用簡單勾股定理的知識表示出兩點間的距離。尤其是第二問,要針對兩個點的不同位置進行分情況討論,最終才能得出正確答案??偟膩碚f難度不是很大,只是過程會比較繁瑣,需要更多的耐心。
總的來看,2023年高考江蘇卷數學難度中上,相對而言數列題、函數題和概率題有一定的難度。其他題只要基礎扎實,應該問題不大。不知道屏幕前的諸位都發揮得如何呢?

